Linked List

Reverse Linked List (LeetCode 206)

206. Reverse Linked List

Given the head of a singly linked list, reverse the list, and return the reversed list.

Example 1:
Input: head = [1,2,3,4,5]
Output: [5,4,3,2,1]

class Solution {
    public ListNode reverseList(ListNode head) {
        ListNode prev = null;
        ListNode curr = head;

        while (curr != null) {
            ListNode next = curr.next;
            curr.next = prev;
            prev = curr;
            curr = next;
        }

        return prev;
    }
}
class Solution:
    def reverseList(self, head):
        prev = None
        curr = head
        
        while curr:
            next_node = curr.next
            curr.next = prev
            prev = curr
            curr = next_node
            
        return prev
Type Value
Time O(n)
Space O(1)
  • Approach: Iteratively reverse pointers using three references: prev, curr, and next.
  • Dry run (head=[1,2,3]):
    • prev=null, curr=1
    • reverse 1 -> null; move prev=1, curr=2
    • reverse 2 -> 1; move prev=2, curr=3
    • reverse 3 -> 2; move prev=3, curr=null
    • return prev -> [3,2,1]

Detect cycle in linked list (leetcode 141)

141. Linked List Cycle

Cycle

Given head, the head of a linked list, determine if the linked list has a cycle in it.

Example 1:
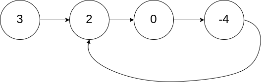
Input: head = [3,2,0,-4], pos = 1
Output: true

Example 2:
Input: head = [1], pos = -1
Output: false

class Solution {
    public boolean hasCycle(ListNode head) {
        if(head==null){
            return false;
        }
        ListNode slow=head;
        ListNode fast=head;
        while(fast!=null && fast.next!=null){
            slow=slow.next;
            fast=fast.next.next;
            if(slow==fast){
                return true;
            }
        }
        return false;
    }
}
class Solution:
    def hasCycle(self, head):
        if not head:
            return False
            
        slow = fast = head
        while fast and fast.next:
            slow = slow.next
            fast = fast.next.next
            if slow == fast:
                return True
                
        return False

https://res.cloudinary.com/dwdbp4qpe/image/upload/v1772347011/Image-3_t2fcxt.gif

Type Value
Time O(n)
Space O(1)
  • Approach: Use Floyd's Tortoise and Hare algorithm. Move slow pointer
    by 1 and fast by 2. If they meet, there's a cycle.
  • Dry run (head=[3,2,0,-4], tail connects to index 1):
    • slow=3, fast=3
    • slow=2, fast=0
    • slow=0, fast=2
    • slow=-4, fast=-4 → cycle detected → true

Middle of linked list (leetcode 876)

876. Middle of the Linked List

Given the head of a singly linked list, return the middle node of the linked list. If there are two middle nodes, return the second middle node.
Input: head = [1,2,3,4,5]
Output: [3,4,5]

Example 2:
Input: head = [1,2,3,4,5,6]
Output: [4,5,6]

class Solution {
    public ListNode middleNode(ListNode head) {
        if(head==null){
            return null;
        }
        ListNode slow=head;
        ListNode fast=head;
        while(fast!=null && fast.next!=null){
            slow=slow.next;
            fast=fast.next.next;
        }
        return slow;
    }
}
class Solution:
    def middleNode(self, head):
        if not head:
            return None
            
        slow = fast = head
        while fast and fast.next:
            slow = slow.next
            fast = fast.next.next
            
        return slow
Type Value
Time O(n)
Space O(1)
  • Approach: Use two pointers. Move slow by 1 and fast by 2. When fast
    reaches the end, slow will be at the middle.
  • Dry run (head=[1,2,3,4,5]):
    • slow=1, fast=1
    • slow=2, fast=3
    • slow=3, fast=5
    • fast.next=null → stop → middle = 3

Remove nth node from end of linked list (leetcode 19)

19. Remove Nth Node From End of List

Given the head of a linked list, remove the nth node from the end of the list and return its head.

Example 1:
Input: head = [1,2,3,4,5], n = 2
Output: [1,2,3,5]

Example 2:
Input: head = [1], n = 1

class Solution {
    public ListNode removeNthFromEnd(ListNode head, int n) {
        ListNode slow = head;
        ListNode fast = head;
        for (int i = 0; i <= n; i++) {
            if (fast == null) return head.next;
            fast = fast.next;
        }
        if (fast == null) return head.next;
        while (fast != null) {
            slow = slow.next;
            fast = fast.next;
        }
        slow.next = slow.next.next;
        return head;
    }
}
class Solution:
    def removeNthFromEnd(self, head, n: int):
        dummy = ListNode(0, head)
        slow = fast = dummy
        
        for _ in range(n + 1):
            if not fast:
                return dummy.next
            fast = fast.next
            
        while fast:
            slow = slow.next
            fast = fast.next
            
        slow.next = slow.next.next
        return dummy.next
Type Value
Time O(n)
Space O(1)
  • Approach: Maintain a gap of n between fast and slow pointers. When
    fast reaches end, slow will be just before the node to remove.
  • Dry run (head=[1,2,3,4,5], n=2):
    • initial: dummy→1→2→3→4→5
    • move fast 3 steps → fast at 3
    • move both:
      • fast=4 slow=1
      • fast=5 slow=2
      • fast=null slow=3
    • delete slow.next (4)
    • result: 1→2→3→5

Find Start of Cycle (LeetCode 142)

142. Linked List Cycle II

Given the head of a linked list, return the node where the cycle begins. If there is no cycle, return null.

Example 1:
Input: head = [3,2,0,-4], pos = 1
Output: tail connects to node index 1

Example 2:
Input: head = [1,2], pos = 0
Output: tail connects to node index 0

class Solution {
    public ListNode detectCycle(ListNode head) {
        ListNode slow=head;
        ListNode fast=head;
        while(fast!=null && fast.next!=null){
            slow=slow.next;
            fast=fast.next.next;
            if(slow==fast){
                slow=head;
                while(slow!=fast){
                    slow=slow.next;
                    fast=fast.next;
                }
                return slow;
            }
        }
        return null;
    }
}
class Solution:
    def detectCycle(self, head):
        slow = fast = head
        while fast and fast.next:
            slow = slow.next
            fast = fast.next.next
            if slow == fast:
                slow = head
                while slow != fast:
                    slow = slow.next
                    fast = fast.next
                return slow
        return None
Type Value
Time O(n)
Space O(1)
  • Approach: Phase 1: Detect cycle with Floyd's algorithm. Phase 2: Reset slow to head, move both one step at a time until they meet at cycle start.
  • Dry run (head=[3,2,0,-4], tail→node 1):
    • Phase 1: slow=3,fast=3 → slow=2,fast=0 → slow=0,fast=2 → slow=-4,fast=-4 → meet!
    • Phase 2: slow=head=3, fast=-4. Move both by 1: slow=2, fast=0 → slow=0, fast=2 → slow=2, fast=-4... eventually both meet at node 2 (cycle start).

Remove cycle from linked list (GeeksforGeeks)

Remove loop in Linked List

Given the head of a linked list that may contain a cycle, remove the cycle if it exists by setting the next pointer of the last node in the cycle to null.

Example 1:
Input: head = [1,2,3,4,5], pos=2 (cycle on 3)
Output: [1,2,3,4,5]

class Solution {
    public void removeCycle(ListNode head) {
        if(head==null || head.next==null){
            return;
        }
        ListNode slow=head;
        ListNode fast=head;
        boolean hasCycle=false;
        while(fast!=null && fast.next!=null){
            slow=slow.next;
            fast=fast.next.next;
            if(slow==fast){
                hasCycle=true;
                break;
            }
        }
        if(!hasCycle){
            return;
        }
        slow=head;
        ListNode prev=null;
        while(slow!=fast){
            prev=fast;
            slow=slow.next;
            fast=fast.next;
        }
        prev.next=null;
}
}
class Solution:
    def removeCycle(self, head):
        if not head or not head.next:
            return
            
        slow = fast = head
        has_cycle = False
        
        while fast and fast.next:
            slow = slow.next
            fast = fast.next.next
            if slow == fast:
                has_cycle = True
                break
                
        if not has_cycle:
            return
            
        slow = head
        prev = None
        while slow != fast:
            prev = fast
            slow = slow.next
            fast = fast.next
            
        prev.next = None
Type Value
Time O(n)
Space O(1)
  • Approach: Detect cycle with Floyd's algorithm. Once cycle start is found, track the previous node. When slow and fast meet at cycle start, set prev.next = null to break the cycle.
  • Dry run (head = [1,2,3,4,5], 5 → node 3):
    • Phase 1: Detect meeting point at node 4
    • Phase 2: Move slow to head, fast stays at meeting
    • slow=1 fast=4 → slow=2 fast=5 → slow=3 fast=3 → cycle start found
    • prev=5 (tracked during Phase 2) → prev.next = null
    • Result: 1 → 2 → 3 → 4 → 5 → null

Merge Two Sorted Lists (leetcode 21)

21. Merge Two Sorted Lists

You are given the heads of two sorted linked lists list1 and list2.

Merge the two lists into one sorted list. The list should be made by splicing together the nodes of the first two lists.

Return the head of the merged linked list.

Example 1:

Input: list1 = [1,2,4], list2 = [1,3,4]
Output: [1,1,2,3,4,4]

Example 2:

Input: list1 = [], list2 = []
Output: []

Example 3:

Input: list1 = [], list2 = [0]
Output: [0]

class Solution {
    public ListNode mergeTwoLists(ListNode list1, ListNode list2) {
        ListNode dummy = new ListNode(-1);
        ListNode current = dummy;

        while (list1 != null && list2 != null) {
            if (list1.val <= list2.val) {
                current.next = list1;
                list1 = list1.next;
            } else {
                current.next = list2;
                list2 = list2.next;
            }
            current = current.next;
        }
        if (list1 != null) {
            current.next = list1;
        } else {
            current.next = list2;
        }
        return dummy.next;
    }
}
class Solution:
    def mergeTwoLists(self, list1, list2):
        dummy = ListNode(-1)
        current = dummy
        
        while list1 and list2:
            if list1.val <= list2.val:
                current.next = list1
                list1 = list1.next
            else:
                current.next = list2
                list2 = list2.next
            current = current.next
            
        current.next = list1 if list1 else list2
        return dummy.next
Type Value
Time Complexity O(n + m)
Space Complexity O(1) (in-place)
  • Dry run (list1=[1,2,4], list2=[1,3,4]):
    • Compare 1<=1 → pick list1(1), list1→2
    • Compare 2>1 → pick list2(1), list2→3
    • Compare 2<=3 → pick list1(2), list1→4
    • Compare 4>3 → pick list2(3), list2→4
    • Compare 4<=4 → pick list1(4), list1→null
    • list1 null → attach list2(4)
    • Result: [1,1,2,3,4,4]

Remove Linked List Elements (LeetCode 203)

203. Remove Linked List Elements

Given the head of a linked list and an integer val, remove all the nodes of the linked list that has Node.val == val, and return the new head.

Example 1:

Input: head = [1,2,6,3,4,5,6], val = 6
Output: [1,2,3,4,5]

Example 2:

Input: head = [], val = 1
Output: []

Example 3:

Input: head = [7,7,7,7], val = 7
Output: []

class Solution {

    public ListNode removeElements(ListNode head, int val) {
        ListNode dummy = new ListNode(-1);
        dummy.next = head;
        ListNode curr = dummy;
        while (curr.next != null) {
            if (curr.next.val == val) {
                curr.next = curr.next.next;
            } else {
                curr = curr.next;
            }
        }
        return dummy.next;
    }
}
class Solution:
    def removeElements(self, head, val: int):
        dummy = ListNode(-1)
        dummy.next = head
        curr = dummy
        
        while curr.next:
            if curr.next.val == val:
                curr.next = curr.next.next
            else:
                curr = curr.next
                
        return dummy.next
Type Value
Time O(n)
Space O(1)
  • Approach: Use a dummy node to easily handle cases where the head itself needs to be removed. Iterate through the list using a curr pointer and skip over nodes that match val.
  • Dry run (head=[1,2,6,3,4,5,6], val=6):
    • dummy=[-1], curr=dummy, curr.next=[1]
    • Iterates past 1, 2. curr at 2. curr.next is 6.
    • curr.next.val == 6. Skip 6 -> curr.next = [3].
    • Iterates past 3, 4, 5. curr at 5. curr.next is 6.
    • curr.next.val == 6. Skip 6 -> curr.next = null.
    • Returns dummy.next -> [1,2,3,4,5].

Remove Duplicates from Sorted List (LeetCode 83)

83. Remove Duplicates from Sorted List

Given the head of a sorted linked list, delete all duplicates such that each element appears only once. Return the linked list sorted as well.

Example 1:

Input: head = [1,1,2]
Output: [1,2]

Example 2:

Input: head = [1,1,2,3,3]
Output: [1,2,3]

class Solution {

    public ListNode deleteDuplicates(ListNode head) {
        ListNode curr = head;
        while (curr != null && curr.next != null) {
            if (curr.val == curr.next.val) {
                curr.next = curr.next.next;
            } else {
                curr = curr.next;
            }
        }
        return head;
    }
}
class Solution:
    def deleteDuplicates(self, head):
        curr = head
        while curr and curr.next:
            if curr.val == curr.next.val:
                curr.next = curr.next.next
            else:
                curr = curr.next
        return head
Type Value
Time O(n)
Space O(1)
  • Approach: Since the linked list is sorted, duplicates are grouped together. Iterate with a curr pointer and if it's identical to the next node's value, skip the next node.
  • Dry run (head=[1,1,2,3,3]):
    • curr=1. curr.next is 1. Match -> skip the next 1 -> curr.next=[2...].
    • curr=1. curr.next is 2. No match -> curr=2.
    • curr=2. curr.next is 3. No match -> curr=3.
    • curr=3. curr.next is 3. Match -> skip the next 3 -> curr.next=null.
    • curr=3. curr.next is null -> loop ends.
    • Returns [1,2,3].

Reorder List (LeetCode 143)

143. Reorder List

You are given the head of a singly linked-list. The list can be represented as:

L0 → L1 → … → Ln - 1 → Ln

Reorder the list to be on the following form:

L0 → Ln → L1 → Ln - 1 → L2 → Ln - 2 → …

You may not modify the values in the list's nodes. Only nodes themselves may be changed.

Example 1:

Input: head = [1,2,3,4]
Output: [1,4,2,3]

Example 2:

Input: head = [1,2,3,4,5]
Output: [1,5,2,4,3]

class Solution {
    public void reorderList(ListNode head) {
        if (head == null || head.next == null)
            return;

        ListNode slow = head, fast = head;
        while (fast.next != null && fast.next.next != null) {
            slow = slow.next;
            fast = fast.next.next;
        }

        ListNode second = slow.next;
        slow.next = null;
        ListNode prev = null;

        while (second != null) {
            ListNode next = second.next;
            second.next = prev;
            prev = second;
            second = next;
        }
        second = prev;
        ListNode first = head;
        while (second != null) {
            ListNode fNext = first.next;
            ListNode sNext = second.next;

            first.next = second;
            second.next = fNext;

            first = fNext;
            second = sNext;
        }
    }
}
class Solution:
    def reorderList(self, head):
        if not head or not head.next:
            return
            
        slow = fast = head
        while fast.next and fast.next.next:
            slow = slow.next
            fast = fast.next.next
            
        second = slow.next
        slow.next = None
        prev = None
        
        while second:
            next_node = second.next
            second.next = prev
            prev = second
            second = next_node
            
        second = prev
        first = head
        
        while second:
            f_next = first.next
            s_next = second.next
            
            first.next = second
            second.next = f_next
            
            first = f_next
            second = s_next
Type Value
Time O(n)
Space O(1)
  • Approach: Find the middle node using slow and fast pointers. Reverse the second half of the list. Then, merge the two halves alternately.
  • Dry run (head=[1,2,3,4]):
    • Middle: slow stops at 2 (so left half is [1,2], right half starts at 3).
    • Reverse second half: [3,4] becomes [4,3].
    • Merge: 1 -> 4 -> 2 -> 3 -> null. Result: [1,4,2,3].

Convert Sorted List to Binary Search Tree (LeetCode 109)

109. Convert Sorted List to Binary Search Tree

Given the head of a singly linked list where elements are sorted in ascending order, convert it to a height-balanced binary search tree.

Example 1:

Input: head = [-10,-3,0,5,9]
Output: [0,-3,9,-10,null,5]
Explanation: One possible answer is [0,-3,9,-10,null,5], which represents the shown height balanced BST.

Example 2:

Input: head = []
Output: []

class Solution {
    public TreeNode sortedListToBST(ListNode head) {
        if (head == null)
            return null;
        if (head.next == null)
            return new TreeNode(head.val);
        ListNode slow = head, fast = head, prev = null;
        while (fast != null && fast.next != null) {
            prev = slow;
            slow = slow.next;
            fast = fast.next.next;
        }
        if (prev != null)
            prev.next = null;
        TreeNode root = new TreeNode(slow.val);
        root.left = sortedListToBST(head == slow ? null : head);
        root.right = sortedListToBST(slow.next);
        return root;
    }
}
class Solution:
    def sortedListToBST(self, head):
        if not head:
            return None
        if not head.next:
            return TreeNode(head.val)
            
        slow = fast = head
        prev = None
        
        while fast and fast.next:
            prev = slow
            slow = slow.next
            fast = fast.next.next
            
        if prev:
            prev.next = None
            
        root = TreeNode(slow.val)
        root.left = self.sortedListToBST(head if head != slow else None)
        root.right = self.sortedListToBST(slow.next)
        
        return root
Type Value
Time O(n log n)
Space O(log n)
  • Approach: Find the middle element to be the root. Set previous node's next to null to sever the list. Then recursively build the left and right subtrees.
  • Dry run (head=[-10,-3,0,5,9]):
    • Middle is 0. Root = 0.
    • Left list turns into [-10,-3], mid is -3 -> root.left=-3.
    • Right list turns into [5,9], mid is 9 -> root.right=9.
    • End result: [0,-3,9,-10,null,5].

445. Add Two Numbers II

You are given two non-empty linked lists representing two non-negative integers. The most significant digit comes first and each of their nodes contains a single digit. Add the two numbers and return the sum as a linked list.

You may assume the two numbers do not contain any leading zero, except the number 0 itself.

Example 1:

Input: l1 = [7,2,4,3], l2 = [5,6,4]
Output: [7,8,0,7]

Example 2:

Input: l1 = [2,4,3], l2 = [5,6,4]
Output: [8,0,7]

Example 3:

Input: l1 = [0], l2 = [0]
Output: [0]

import java.util.*;
class Solution {
    public ListNode addTwoNumbers(ListNode l1, ListNode l2) {
        Stack<Integer> s1 = new Stack<>();
        Stack<Integer> s2 = new Stack<>();
        while (l1 != null) {
            s1.push(l1.val);
            l1 = l1.next;
        }
        while (l2 != null) {
            s2.push(l2.val);
            l2 = l2.next;
        }
        int carry = 0;
        ListNode head = null;
        while (!s1.isEmpty() || !s2.isEmpty() || carry != 0) {
            int x = s1.isEmpty() ? 0 : s1.pop();
            int y = s2.isEmpty() ? 0 : s2.pop();
            int sum = x + y + carry;
            carry = sum / 10;
            ListNode node = new ListNode(sum % 10);
            node.next = head;
            head = node;
        }
        return head;
    }
}
class Solution:
    def addTwoNumbers(self, l1: Optional[ListNode], l2: Optional[ListNode]) -> Optional[ListNode]:
        s1, s2 = [], []
        while l1:
            s1.append(l1.val)
            l1 = l1.next
        while l2:
            s2.append(l2.val)
            l2 = l2.next
        carry, head = 0, None
        while s1 or s2 or carry:
            total = (s1.pop() if s1 else 0) + (s2.pop() if s2 else 0) + carry
            carry = total // 10
            node = ListNode(total % 10)
            node.next = head
            head = node
        return head
Type Value
Time O(m+n)
Space O(m+n)
  • Approach: Use two stacks to process the numbers starting from the least significant digit, appending digits as nodes to the head.
  • Dry run (l1=[7,2,4,3], l2=[5,6,4]):
    • push to s1=[7,2,4,3], s2=[5,6,4]
    • pop 3, 4 -> sum=7. head=[7]
    • pop 4, 6 -> sum=10. carry=1. node=[0], head=[0,7]
    • pop 2, 5 -> sum=8. head=[8,0,7]
    • pop 7, 0 -> sum=7. head=[7,8,0,7]
    • Result: [7,8,0,7]